Описание выполнения узора
Количество воздушных петель набора кратно 4 + 1 + воздушная петля.
Набираем 13 воздушных петель + 1 п. возд. для подъема
С 1-го по 3-й, с 5-го по 7-й, 9-го по 11-й ряды: 13 ст.б/н. 1 возд.п.
4-й ряд:1 ст.б/н, 1 глубокий столбик с 2 накидами(делаем 2 накида, охватываем крючком с лицевой стороны основание 4-го столбика 1-го ряда, вытягиваем петлю и провязываем стобик с 2 накидами), 3 ст.б/н,1 глуб.ст. с 2 нак. в то же основание4-го столбика 1-го ряда, 1 глуб. ст с 2 нак. в основание 8-го ст.б/н 1-го ряда, 3 ст.б/н, 1 глуб ст. с 2 нак. в основание того же 8-го ст. 1-го ряда, 1 глуб ст. с 2 нак. за основание 12 ст. б/н. 1-го ряда 1 ст.б/н, 1 взд.п. для пдъема;
8-й ряд: 3 ст. б/н, 1 глуб. ст с 2 нак. во 2-й ст. 4-го ряда(глуб. ст.), 1 глуб. ст с 2 нак. в 6-й ст. 4-го ряда(глуб. ст.), 3 ст.б/н, 1 глуб. ст с 2 нак. в 6-й ст. 4-го ряда(глуб. ст.), 1 глуб. ст с 2 нак. в 10-й ст. 4-го ряда(глуб. ст.), 3 ст. б/н, 1 глуб. ст с 2 нак. в 10-й ст. 4-го ряда(глуб. ст.), 1 ст.б/н, 1 возд. п. для подъема;
12-й ряд: 1 ст. б/н, 1 глуб. ст с 2 нак. во 4-й ст. 8-го ряда(глуб. ст.), 3 ст. б/н, 1 глуб. ст с 2 нак. в 4-й ст. 8-го ряда(глуб. ст.), 1 глуб. ст с 2 нак. в 8-й ст. 8-го ряда(глуб. ст.), 3 ст. б/н, 1 глуб. ст с 2 нак. в 8-й ст. 8-го ряда(глуб. ст.), 1 глуб. ст с 2 нак. в 12-й ст. 8-го ряда(глуб. ст.), 3 ст.б/н.

Повторять с 1-го по 12-й ряд.
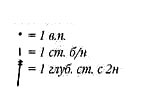
Условные обозначения
